Giải pháp di truyền đối phó với virus đốm trắng trên tôm
Cách thức lựa chọn bộ gen có thể tăng nhanh khả năng đề kháng của tôm thẻ chân trắng đối với virus gây hội chứng đốm trắng (WSSV) – một trong những bệnh gây thất thoát nhiều nhất đối với ngành tôm trên toàn cầu.

Thực hiện thụ tinh nhân tạo cho tôm mẹ – Ảnh: Nofima
Các nhà khoa học Nofima đã hợp tác với các đồng nghiệp tại Benchmark Genetics ở Colombia và NaUy, chỉ ra rằng phương pháp lựa chọn bộ gen có thể được sử dụng để tăng khả năng chống lại bệnh WSSV, bệnh có khả năng gây chết và lây lan cao của tôm. Hơn 80% tôm đã sống sót trong quá trình chịu thử thách với bệnh này. Giống như việc tiêm phòng, khi chúng ta nuôi những con tôm sạch bệnh, có sức đề kháng cao và đủ khả năng tạo ra hiệu ứng miễn dịch cho đàn sẽ làm giảm đáng kể tác động của bệnh. Do vậy, việc lựa chọn bộ gen sẽ hứa hẹn rất nhiều trong việc cải thiện sức đề kháng cho tôm nuôi.
Hệ thống miễn dịch nguyên thủy
Các loài giáp xác đều không có khả năng ghi nhớ miễn dịch, do đó việc tiêm phòng để tăng cường hệ thống miễn dịch đã hạn chế khả năng chống lại virus của các loài này. Kích thích hệ thống miễn dịch bẩm sinh cho thấy một số hứa hẹn, nhưng đến nay vẫn chưa được chứng minh ngoài thực tế. Chúng ta đều biết, một số loài động vật có khả năng chống chịu hoặc có sức đề kháng với virus cao hơn nhưng loài khác, nhưng đến nay chúng ta vẫn chưa hiểu rõ về cơ chế cụ thể tạo nên sự khác biệt này.
Chúng ta có thể lai tạo ra những động vật có sức đề kháng cao với WSSV qua việc chọn lọc cá thể thông thường, nhưng tiến độ còn chậm. Ngành rất cần những giải pháp tốt hơn để ngăn chặn việc tôm, cá chết hàng loạt do WSSV gây ra.
Lựa chọn bộ gen
Gần đây, phương pháp lựa chọn bộ gen đang thu hút được nhiều sự chú ý. Bước đầu, việc lựa chọn bộ gen được phát triển để cải thiện vật nuôi, sử dụng những công nghệ giải trình tự ADN mới nhất. Các nhà khoa học giống và di truyền tại Nofima đã làm việc về những công nghệ này trên tôm thẻ chân trắng. Thay vì dựa vào các mối quan hệ phả hệ để ước tính giá trị giống của các cá thẻ, các nhà khoa học sử dụng dữ liệu trình tự DNA để ước tính mối quan hệ bộ gen giữa các cá thể ở hàng chục nghìn vị trí trong toàn bộ hệ gen của sinh vật. Công nghệ này cung cấp một phương tiện chính xác hơn để dự đoán giá trị sinh sản của tôm bố mẹ tiềm năng trong quần thể.
Ưu điểm chính của việc lựa chọn bộ gen so với chọn lọc truyền thống đối với việc kháng lại virus chính là khả năng dự đoán chính xác những cá thể có kiểu gen kháng tổng thể tốt nhất.
Ứng dụng đầu tiên
Nofima và Benchmark đã thiết lập một thí nghiệm, sử dụng hai quần thể nguồn do Benchmark Genetics Colombia phát triển. Một quần thể đã được lai tạo chọn lọc hàng loạt trong nhiều thế hệ để có khả năng kháng virus WSSV, quần thể còn lại chủ yếu được lai tạo chọn lọc để có tốc độ tăng trưởng nhanh. Những con vật này được tách ngẫu nhiên thành hai nhóm: một quần thể thử nghiệm đã được thử thách với virus, và một quần thể tôm bố mẹ ứng cử viên được nuôi trong điều kiện an toàn sinh học cao.
Dữ liệu và mẫu để kiểm tra DNA được thu thập từ các cá thể trong cả hai quần thể. Thông tin về khả năng sống sót của tôm sau thử nghiệm thử thách với virus được kết hợp với dữ liệu mối quan hệ bộ gen từ thử nghiệm DNA, và được sử dụng để dự đoán các giá trị di truyền giống về khả năng sống sót của từng cá thể tôm bố mẹ (không tiếp xúc với virus).
Sau đó, tiến hành chọn và phối giống tôm bố mẹ để tạo ra hai quần thể tôm khác nhau, một quần thể có giá trị cao và một quần thể có giá trị giống ước tính về bộ gen thấp. Tỷ lệ sống sót của hai quần thể này, và con cái từ đàn bố mẹ được giao phối “ngẫu nhiên”, so sánh trong một thử nghiệm.
Tăng cường khả năng sinh tồn
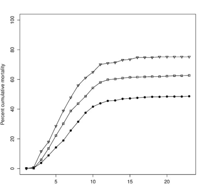
Kết quả đã chứng minh, tỉ lệ sống trung bình của tôm tăng từ 38% lên 51%, chỉ sau một thế hệ chọn lọc bộ gen có khả năng kháng WSSV cao.

Tỉ lệ % tử vong tích lũy được lập biểu đồ qua các ngày trong thí nghiệm đối với tôm trong các quần thể có giá trị di truyền giống cao (chấm tròn), ngẫu nhiên (hình vuông) và giá trị di truyền giống thấp (hình tam giác).
Hứa hẹn với ngành tôm
Sự hợp tác này đã chứng minh rằng, mức độ cải thiện di truyền tương đối cao có thể đạt được đối với WSSV trên tôm thẻ chân trắng chỉ sau một thế hệ chọn lọc bộ gen, và việc lựa chọn bộ gen có thể được sử dụng để cải thiện tỷ lệ sống đến các mức phù hợp về mặt thương mại đối với ngành.
So với các phương pháp chọn lọc giống thông thường, phương pháp chọn lọc gen có tác dụng đáng kể trong việc dự đoán và có khả năng ứng dụng thông tin di truyền cơ bản ảnh hưởng đến tính kháng. Giống như việc tiêm phòng cho các cá thể, phương pháp này cũng được kỳ vọng về mức độ miễn dịch cao sẽ tạo được “hiệu ứng bầy đàn”, vì những con vật có sức đề kháng cao sẽ không lây nhiễm sang những con khác. Các nhà nghiên cứu khác đã chỉ ra rằng, mức độ sống sót 70% là đủ để kiểm soát một bệnh virus khác (do virus hội chứng taura) ở tôm.
Bằng cách chọn lọc bộ gen, đã chứng minh việc có thể tăng nhanh mức độ kháng bệnh ở tôm thẻ chân trắng. Lựa chọn bộ gen cũng hứa hẹn nhiều cải thiện các đặc điểm kinh tế quan trọng khác ở tôm và các loài nuôi trồng thủy sản khác. Nghiên cứu chỉ ra rằng việc lựa chọn bộ gen có thể giải quyết vấn đề hàng tỷ đô la này đối với ngành tôm trong tương lai.
Ái Lam (lược dịch)


There is no comment