Hiện tại, ở Việt Nam, theo thống kê của HSI có hơn 30 doanh nghiệp trong nước cũng như ...
Xem chi tiếtTrong bối cảnh giá thức ăn chăn nuôi liên tục tăng cao, ông Nguyễn Văn Long (làng U Diếp, ...
Xem chi tiếtGiá heo hơi miền Bắc hôm nayGiá heo hơi hôm nay 21/1 tại thị trường miền Bắc tăng 2.000 - 4.000 ...
Xem chi tiếtTheo dự báo của nhiều chuyên gia kinh tế, giá các nguyên liệu sản xuất thức ăn chăn nuôi ...
Xem chi tiếtTổ chức thực hiện phòng, chống bệnh VDNC theo nguyên tắc tuân thủ và thực hiện những nội dung, ...
Xem chi tiếtBột vẹm, dinh dưỡng và hiệu suấtBột vẹm chế biến từ thịt vẹm có hàm lượng protein thô (CP) 60 ...
Xem chi tiếtCàng kêu… càng nhập mạnh?Chúng tôi nhớ cách đây vài năm các doanh nghiệp và người nuôi gia cầm ...
Xem chi tiết[Tạp chí Chăn nuôi Việt Nam] – Theo dữ liệu từ Hải quan Trung Quốc, năm 2021, nhập khẩu ...
Xem chi tiếtNguồn cung dồi dào, cả ở kênh nội địa lẫn nhập khẩu, nhu cầu không tăng là nguyên nhân ...
Xem chi tiếtGhi nhận giá heo hơi ngày 20/1, trên cả 3 miền tiếp tục tăng từ 1..000 – 5.000 đồng/kg ...
Xem chi tiếtHơn hai tuần nữa là đến Tết Nguyên đán Nhâm Dần 2022. Thời điểm này, nhu cầu tiêu dùng ...
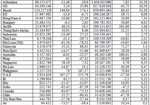
Xem chi tiếtTheo số liệu thống kê sơ bộ của Tổng cục Hải quan, kim ngạch nhập khẩu thức ăn gia ...
Xem chi tiếtNhập khẩu thức ăn chăn nuôi và nguyên liệu trong năm 2021 tăng rất mạnh về trị giá và ...
Xem chi tiếtChăm sóc tốt gà mái tơ Điều quan trọng là làm cho con gà mái tơ khỏe mạnh, có chất ...
Xem chi tiếtGhi nhận giá heo hơi ngày 19/1, trên cả 3 miền đồng loạt tăng từ 2.000 – 5.000 đồng/kg ...
Xem chi tiếtĐiều kiện tiên quyết xuất khẩuTheo yêu cầu của Tổ chức Thú y Thế giới (OIE), một trong những ...
Xem chi tiếtThông tin từ Hội Nông dân huyện Lâm Hà (tỉnh Lâm Đồng) cho biết, kén tằm tại khu vực ...
Xem chi tiếtTrái với thông lệ hằng năm, giá thịt bò thường tăng mạnh trong giai đoạn cận Tết âm lịch, ...
Xem chi tiếtQua rà soát mới đây của ngành Nông nghiệp Lâm Đồng, toàn tỉnh đang phát triển hoạt động 26 ...
Xem chi tiếtTheo báo cáo của Cục Thống kê tỉnh, tính đến cuối năm 2021, tổng đàn heo của tỉnh đạt ...
Xem chi tiếtChúng tôi luôn nỗ lực mang đến các sản phẩm, dịch vụ chất lượng tốt nhất đáp ứng sự hài lòng của quý khách hàng.
Công ty Cổ Phần Vietko Bio
Địa chỉ: Số 11 đường Nguyễn Đăng, khu 2, Phường Suối Hoa , Thành phố Bắc Ninh, Tỉnh Bắc Ninh, Việt Nam
Điện thoại: 0222.652.0246
Email: info@vietkobio.com
Website: https://vietkobio.com
Hãy đăng ký để nhận báo giá mới nhất của chúng tôi